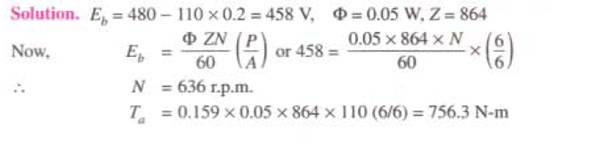
Question
A.
d.c.
motor takes an armature current of 110 A at 480 V; The resistance of the
armature circuit is 0.2H. The machine has six poles and the armature is
lap-connected with 864 conductors. The flux per pole is 6.05 Wb. Calculate .
(i) The speed; (ii) The gross torque developed by the
armature.
