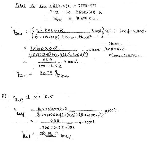
Question
The primary and secondary winding of a 500KVA transformer has
resistance 0.42 and 0.0019ohm respectively
The primary and secondary voltage are 11000V and 415V
respectively and the core loss is 2.9KW, pf = 0.8
calculate efficiency on full load and half load.
