Question

Explain the term CAPACITIVE REACTANCE.

Increasing the frequency will also decrease the opposition offered by a capacitor. This occurs because the number of electrons which the capacitor is capable of handling at a given voltage will change plates more often. As a result, more electrons will pass a given point in a given time (greater current flow). The opposition which a capacitor offers to ac is therefore inversely proportional to frequency and to capacitance.

This opposition is called CAPACITIVE REACTANCE.

You may say that capacitive reactance decreases with increasing frequency or, for a given frequency, the capacitive reactance decreases with increasing capacitance. The symbol for capacitive reactance is XC.

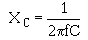
Now you can understand why it is said that the XC varies inversely with the product of the frequency and capacitance. The formula is:

0203.GIF (218 bytes)

Where: XC is capacitive reactance in ohms f is frequency in Hertz C is capacitance in farads p is 6.28 (2 X 3.1416)