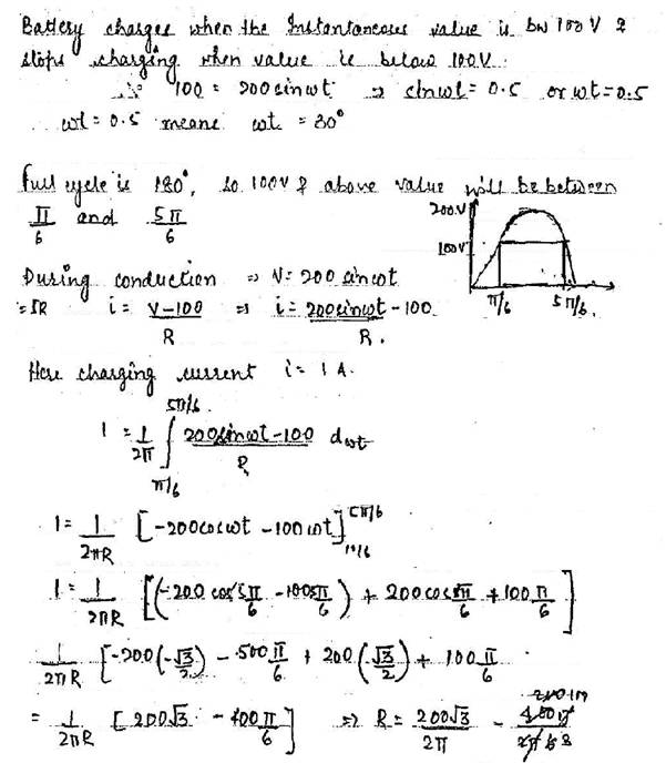
Question
(b) A battery-charging
circuit is shown below in Fig. The forward resistance of the diode can be
considered negligible and the reverse resistance infinite. The internal
resistance of the battery is negligible. Calculate the necessary value of the
variable resistance R so that the battery charging current


