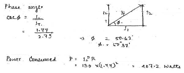
Question

A resistance of 130ohm. and a capacitor of 30 μf are connected in parallel across a 230 volt 50Hz supply.

Find the current in each component, total current, phase angle and the power consumed.