Question
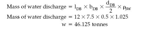
A ship of 8000 tonnes displacement has KM
7.5m and KG 7.0m. A double bottom tank is 12m long, 15m wide and 1m deep. The
tank is divided longitudinally at the centre line and both sides are full of
salt water. Calculate the list if one side is pumped out until it is half
empty. (See Fig.)





So again G has risen due to discharging water ballast. It has also
risen due to free-surface effects. A further movement has caused G to move off
the centre line and has produced this angle of list of 3°04’.