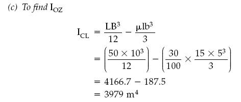
A box shaped vessel, 50 meters long X 10 meters wide, floats in salt water on an even keel at a draft of 4 meters. A center line longitudinal watertight bulkhead extends from end to end and for the full depth of the vessel. A compartment amidships on the starboard side is 15 meters long and contains cargo with permeability 30%. Calculate the list if this compartment is bilged. KG = 3 meters.






